中国铁合金网讯:3月31日,唐山生态环境局公布2021年重点排污单位名录(初稿),其中炼钢70家、炼铁14家、炼焦16家。具体名单如下:

| 2021年重点排污单位名录 | |||||
| 序号 | 行政区划(县) | 企业名称 | 行业类别 | 统一社会信用代码 | 名录类别 |
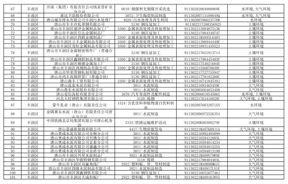
| 1 | 丰南区 | 唐山东华钢铁企业集团有限公司 | 3120|炼钢 | 91130282689265171X | 大气环境、土壤环境 |
| 2 | 丰南区 | 唐山市丰南区凯恒钢铁有限公司 | 3120|炼钢 | 91130282553347709C | 大气环境 |
| 3 | 丰南区 | 唐山市丰南区群利金属有限公司 | 3130|钢压延加工 | 91130282743440058B | 土壤环境 |
| 6 | 丰南区 | 唐山瑞丰钢铁(集团)有限公司 | 3130|钢压延加工 | 91130282745420296H | 大气环境,土壤环境 |
| 7 | 丰南区 | 唐山达丰焦化有限公司 | 2521|炼焦 | 91130200760314221R | 水环境,大气环境,土壤环境 |
| 11 | 丰南区 | 唐山京津冷轧镀锌有限公司 | 3130|钢压延加工 | 91130282MA08MG9T2U | 水环境,大气环境、土壤环境 |
| 15 | 丰南区 | 唐山全丰薄板有限公司 | 3130|钢压延加工 | 91130282MA0842976U | 水环境,大气环境 |
| 33 | 丰南区 | 唐山市融德冷轧镀锌有限公司 | 3130|钢压延加工 | 91130282MA08TD7H15 | 土壤环境 |
| 36 | 丰南区 | 唐山沃林金属制品有限公司 | 3130|钢压延加工 | 91130282MA08PATR3J | 水环境,大气环境,土壤环境 |
| 42 | 丰南区 | 河北纵横集团丰南钢铁有限公司 | 3130|钢压延加工 | 91130282MA07XREQ98 | 大气环境,土壤环境 |
| 47 | 丰南区 | 唐山国丰第一冷轧镀锌技术有限公司 | 3130|钢压延加工 | 91130282662214833A | 大气环境、土壤环境 |
| 52 | 丰南区 | 唐山市丰南区宏烨炉料有限公司 | 3110|炼铁 | 911302827857074004 | 大气环境 |
| 56 | 丰南区 | 唐山市丰南区经安钢铁有限公司 | 3120|炼钢 | 91130282741514885E | 大气环境,土壤环境 |
| 64 | 丰南区 | 唐山鑫通冷轧镀锌技术有限公司 | 3130|钢压延加工 | 91130282MA08FU2004 | 土壤环境 |
| 65 | 丰南区 | 唐山锡丰实业有限公司 | 3130|钢压延加工 | 911302820826661042 | 大气环境,土壤环境 |
| 70 | 丰润区 | 唐山市丰丰冷轧带钢有限公司 | 3130|钢压延加工 | 911302217288356925 | 土壤环境 |
| 72 | 丰润区 | 唐山市丰润区信达金属制品厂 | 3130|钢压延加工 | 911302217984349747 | 土壤环境 |
| 76 | 丰润区 | 唐山市丰润区金源精密铸件厂(普通合伙) | 3130|钢压延加工 | 911302217651913714 | 土壤环境 |
| 78 | 丰润区 | 唐山市丰润区顺德金属加工厂 | 3130|钢压延加工 | 91130221754021684E | 土壤环境 |
| 80 | 丰润区 | 唐山市华荣带钢轧制有限公司 | 3130|钢压延加工 | 911302217727755947 | 土壤环境 |
| 81 | 丰润区 | 唐山市鸿丰高频焊管厂(普通合伙) | 3130|钢压延加工 | 91130221779192260C | 土壤环境 |
| 86 | 丰润区 | 河北天柱钢铁集团有限公司 | 3120|炼钢 | 91130221763416020C | 大气环境,土壤环境 |
| 97 | 丰润区 | 唐山市丰润区华骏特钢有限公司 | 3110|炼铁 | 91130221798404484L | 大气环境 |
| 100 | 丰润区 | 唐山市丰润区国鑫钢铁有限公司 | 3130|钢压延加工 | 91130221665267746J | 大气环境 |
| 109 | 丰润区 | 唐山市丰润区旭日钢铁有限公司 | 3130|钢压延加工 | 91130221746880251H | 大气环境 |
| 131 | 丰润区 | 唐山市鑫杭金属材料有限公司 | 3130|钢压延加工 | 91130221MA09REB78X | 水环境,大气环境、土壤环境 |
| 140 | 丰润区 | 唐山正丰钢铁有限公司 | 3120|炼钢 | 911302217698241801 | 大气环境,土壤环境 |
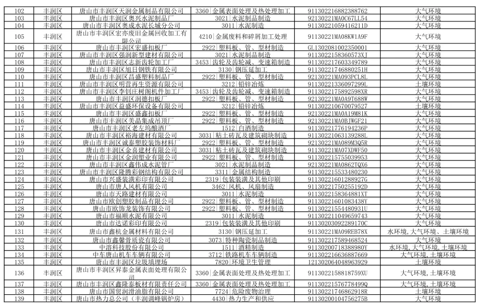
| 177 | 古冶区 | 唐山不锈钢有限责任公司 | 3130|钢压延加工 | 91130200754036552x | 大气环境、土壤环境 |
| 181 | 古冶区 | 唐山国义特种钢铁有限公司 | 3130|钢压延加工 | 91130204779170408Q | 大气环境,土壤环境 |
| 182 | 古冶区 | 唐山市春兴特种钢有限公司 | 3120|炼钢 | 91130200750266262H | 大气环境 |
| 183 | 古冶区 | 唐山市汇丰炼焦制气有限公司 | 2521|炼焦 | 91130200774422223N | 大气环境,土壤环境 |
| 185 | 古冶区 | 唐山市荣义炼焦制气有限公司 | 2521|炼焦 | 91130204746858644F | 大气环境,土壤环境 |
| 188 | 古冶区 | 河北永顺实业集团有限公司 | 2521|炼焦 | 911302007666225400 | 大气环境,土壤环境 |
| 193 | 古冶区 | 唐山天物顺通机械制造有限公司 | 3130|钢压延加工 | 91130204MA09W92H6E | 大气环境 |
| 206 | 古冶区 | 唐山市鼎祥锰业有限公司 | 3140|铁合金冶炼 | 91130204055494212x | 大气环境 |
| 217 | 古冶区 | 唐山天物众强高科精密管业有限公司 | 3130|钢压延加工 | 91130200052668854E | 大气环境,土壤环境 |
| 222 | 古冶区 | 唐山首唐宝生功能材料有限公司 | 3130|钢压延加工 | 911302047777214053 | 大气环境,土壤环境 |
| 226 | 古冶区 | 唐山古兴冷轧硅钢有限公司 | 3130|钢压延加工 | 91130204MA0EJPL64P | 土壤环境 |
| 236 | 海港经济开发区 | 唐山中润煤化工有限公司 | 2521|炼焦 | 91130294798415853U | 水环境,大气环境,土壤环境 |
| 242 | 海港经济开发区 | 唐山国丰第二冷轧镀锌技术有限公司 | 3130|钢压延加工 | 911302946665931134 | 水环境,大气环境,土壤环境 |
| 247 | 海港经济开发区 | 唐山佳华化工有限公司 | 2521|炼焦 | 911302007554958498 | 大气环境,土壤环境 |
| 277 | 开平区 | 唐山钢铁集团高强汽车板有限公司 | 3130|钢压延加工 | 91130200073736713Q | 水环境,大气环境,土壤环境 |
| 284 | 乐亭县 | 唐山市德龙钢铁有限公司 | 3130|钢压延加工 | 911302257216095880 | 大气环境,土壤环境 |
| 288 | 乐亭县 | 乐亭县宝磊板带制造有限公司 | 3130|钢压延加工 | 911302256934525350 | 土壤环境 |
| 298 | 乐亭县 | 唐山中厚板材有限公司 | 3130|钢压延加工 | 91130200766614559K | 大气环境,土壤环境 |
| 302 | 乐亭县 | 唐山凯源实业有限公司 | 3140|铁合金冶炼 | 9113022559828393XX | 大气环境 |
| 305 | 乐亭县 | 河钢乐亭钢铁有限公司 | 3120|炼钢 | 91130225MA08E2NB29 | 大气环境、土壤环境 |
| 306 | 乐亭县 | 河钢股份有限公司唐山分公司(中厚板区) | 3110|炼铁 | 91130200699229617X | 大气环境 |
| 310 | 路南区 | 唐山春兴不锈钢冷轧镜面薄板有限公司 | 3130|钢压延加工 | 911302006622066063 | 水环境,大气环境,土壤环境 |
| 313 | 滦南县 | 唐山汇丰钢铁有限公司 | 3130|钢压延加工 | 911302247554750989 | 土壤环境 |
| 315 | 滦南县 | 河北华西钢铁有限公司 | 3120|炼钢 | 91130224743405607A | 大气环境 |
| 326 | 滦南县 | 滦南县金鑫金属制品厂 | 3130|钢压延加工 | 911302245544787435 | 土壤环境 |
| 329 | 滦南县 | 唐山东方炼焦制气有限公司 | 2521|炼焦 | 91130224762066428D | 水环境,大气环境,土壤环境 |
| 334 | 迁安市 | 唐山松汀钢铁有限公司 | 3120|炼钢 | 91130283715804184L | 大气环境、土壤环境 |
| 335 | 迁安市 | 唐山燕山钢铁有限公司 | 3120|炼钢 | 911302837401878353 | 大气环境、土壤环境 |
| 336 | 迁安市 | 河北京东管业有限公司 | 3110|炼铁 | 91130283771314198G | 大气环境 |
| 339 | 迁安市 | 河北荣信钢铁有限公司 | 3120|炼钢 | 911302837373759742 | 大气环境、土壤环境 |
| 340 | 迁安市 | 迁安中化煤化工有限责任公司 | 2521|炼焦 | 91130283752420382P | 水环境,大气环境,土壤环境 |
| 341 | 迁安市 | 迁安市九江煤炭储运有限公司 | 2521|炼焦 | 91130283771336370Y | 大气环境,土壤环境 |
| 342 | 迁安市 | 迁安市九江线材有限责任公司 | 3130|钢压延加工 | 91130283741535782L | 大气环境、土壤环境 |
| 343 | 迁安市 | 迁安市宏奥工贸有限公司 | 2521|炼焦 | 911302837415127592 | 大气环境,土壤环境 |
| 346 | 迁安市 | 迁安轧一钢铁集团有限公司 | 3120|炼钢 | 91130283768128220Y | 大气环境 |
| 347 | 迁安市 | 首钢智新迁安电磁材料有限公司 | 3130|钢压延加工 | 91130283MA09WM6M8K | 大气环境 |
| 348 | 迁安市 | 首钢矿业公司(球团厂) | 3110|炼铁 | 9113028380511817XW | 大气环境 |
| 349 | 迁安市 | 首钢矿业公司烧结厂 | 3110|炼铁 | 9113028380511817XW | 大气环境 |
| 350 | 迁安市 | 首钢股份公司迁安钢铁公司 | 3120|炼钢 | 911302830949223046 | 水环境,大气环境,土壤环境 |
| 352 | 迁安市 | 唐山信天实业有限公司 | 0810|铁矿采选 | 911302836946867397 | 大气环境 |
| 356 | 迁安市 | 唐山首钢马兰庄铁矿有限责任公司 | 0810|铁矿采选 | 9113028310510149X6 | 大气环境 |
| 361 | 迁安市 | 迁安市中润工贸有限公司 | 0810|铁矿采选 | 91130283068124210H | 大气环境 |
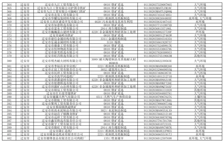
| 364 | 迁安市 | 迁安市九江工贸有限公司 | 0810|铁矿采选 | 91130283732908786X | 大气环境 |
| 365 | 迁安市 | 迁安市九江工贸有限公司护国寺铁矿 | 0810|铁矿采选 | 91130283MA07LUM18C | 大气环境 |
| 366 | 迁安市 | 迁安市九江工贸有限公司脑峪门铁矿 | 0810|铁矿采选 | 91130283MA07LUQ99Q | 大气环境 |
| 367 | 迁安市 | 迁安市北发工贸有限公司 | 0810|铁矿采选 | 911302837454474051 | 大气环境 |
| 370 | 迁安市 | 迁安市如意铁选有限公司 | 0810|铁矿采选 | 9113028377131987XB | 大气环境 |
| 373 | 迁安市 | 迁安市庙岭沟铁矿 | 0810|铁矿采选 | 91130283805127463W | 大气环境 |
| 375 | 迁安市 | 迁安市弘晟金属材料有限公司 | 3110|炼铁 | 911302835661928737 | 大气环境 |
| 376 | 迁安市 | 迁安市德泰工贸有限公司 | 0810|铁矿采选 | 91130283752409917K | 大气环境 |
| 377 | 迁安市 | 迁安市恒坤物流有限公司 | 0810|铁矿采选 | 91130283553306579G | 大气环境 |
| 378 | 迁安市 | 迁安市新美铁选有限公司 | 0810|铁矿采选 | 911302837926508953 | 大气环境 |
| 379 | 迁安市 | 迁安市旺昌铁选有限公司 | 0810|铁矿采选 | 91130283575519663M | 其他环境 |
| 383 | 迁安市 | 迁安市民祥工贸有限公司 | 0810|铁矿采选 | 91130283746863873U | 大气环境 |
| 386 | 迁安市 | 迁安市炫德铁选有限公司 | 0810|铁矿采选 | 91130283MA09KF726E | 大气环境 |
| 388 | 迁安市 | 迁安市硕辰工贸有限公司 | 0810|铁矿采选 | 911302830694131020 | 其他环境 |
| 389 | 迁安市 | 迁安市红石崖劳服铁矿 | 0810|铁矿采选 | 911302830594005781 | 大气环境 |
| 391 | 迁安市 | 迁安市联航工贸有限公司 | 0810|铁矿采选 | 91130283MA07WCLM4G | 其他环境 |
| 392 | 迁安市 | 迁安市聚利工贸有限责任公司 | 0810|铁矿采选 | 91130283788668734Q | 大气环境 |
| 393 | 迁安市 | 迁安市蔡园镇凯超铁矿 | 0810|铁矿采选 | 911302837434236292 | 大气环境 |
| 395 | 迁安市 | 迁安市赵店子镇腾龙铁矿 | 0810|铁矿采选 | 911302837666212148 | 大气环境 |
| 396 | 迁安市 | 迁安市远祥工贸有限公司 | 0810|铁矿采选 | 91130283663687878Q | 大气环境 |
| 397 | 迁安市 | 迁安市鑫昊铁选有限责任公司 | 0810|铁矿采选 | 911302837791701766 | 其他环境 |
| 398 | 迁安市 | 迁安市隆宇工贸有限责任公司 | 0810|铁矿采选 | 91130283601072333L | 大气环境 |
| 403 | 迁安市 | 迁安市顺康工贸有限责任公司 | 0810|铁矿采选 | 91130283663662515L | 大气环境 |
| 404 | 迁安市 | 迁安市马兰庄李家沟第二铁选厂 | 0810|铁矿采选 | 91130283X010734474 | 大气环境 |
| 405 | 迁安市 | 迁安市马兰庄镇南山铁矿 | 0810|铁矿采选 | 91130283732896033C | 大气环境 |
| 407 | 迁安市 | 迁安市龙泰工贸有限公司 | 0810|铁矿采选 | 91130283L04441420D | 大气环境 |
| 411 | 迁安市 | 迁安正大通用钢管有限公司 | 3130|钢压延加工 | 91130283079988436R | 土壤环境 |
| 413 | 迁安市 | 迁安联钢增洲钢管有限公司 | 3130|钢压延加工 | 91130283743413658A | 水环境,土壤环境 |
| 419 | 迁安市 | 首钢矿业公司(更名为:首钢集团有限公司矿业公司) | 3110|炼铁 | 9113028380511817XW | 大气环境,土壤环境,声环境 |
| 420 | 迁安市 | 首钢集团有限公司矿业公司大石河铁矿 | 0810|铁矿采选 | 9113028380511817XW | 大气环境 |
| 421 | 迁安市 | 首钢集团有限公司矿业公司水厂铁矿 | 0810|铁矿采选 | 9113028380511817XW | 大气环境 |
| 422 | 迁安市 | 唐山宝利源炼焦有限公司 | 2521|炼焦 | 91130283700792555Y | 水环境,大气环境,土壤环境 |
| 426 | 迁安市 | 河北鑫达钢铁有限公司 | 3120|炼钢 | 91130283743423645P | 大气环境,土壤环境 |
| 430 | 迁安市 | 迁安市众和球团厂(普通合伙) | 3110|炼铁 | 911302836677421095 | 大气环境 |
| 436 | 迁安市 | 迁安市宝利球团有限公司 | 3110|炼铁 | 9113028377618330XC | 大气环境 |
| 439 | 迁安市 | 迁安市思文科德薄板科技有限公司 | 3130|钢压延加工 | 911302837713080892 | 水环境,大气环境,土壤环境 |
| 441 | 迁安市 | 迁安市成达精密铸造有限公司 | 3391|黑色金属铸造 | 91130283798418560A | 大气环境,声环境 |
| 442 | 迁安市 | 迁安市春兴工贸有限公司 | 3110|炼铁 | 91130283796555406G | 大气环境 |
| 445 | 迁安市 | 迁安市津唐球墨铸管有限公司 | 3391|黑色金属铸造 | 91130283755457375C | 大气环境 |
| 452 | 遵化市 | 唐山港陆钢铁有限公司 | 3130|钢压延加工 | 911302007356029939 | 大气环境,土壤环境 |
| 453 | 遵化市 | 唐山港陆冷轧有限公司 | 3130|钢压延加工 | 91130281MA0956UH9E | 土壤环境 |
| 455 | 遵化市 | 唐山志威科技有限公司 | 3130|钢压延加工 | 91130281572802316N | 大气环境 |
| 469 | 遵化市 | 唐山建龙简舟钢铁有限公司 | 3130|钢压延加工 | 91130281745435295U | 大气环境,土壤环境 |
| 479 | 路北区 | 唐山市浩鑫金属制品有限公司 | 3130|钢压延加工 | 91130203065746436G | 土壤环境 |
| 493 | 曹妃甸区 | 唐山文丰山川轮毂有限公司(更名为:唐山文丰特钢有限公司) | 3130|钢压延加工 | 91130230666573139J | 大气环境、土壤环境 |
| 494 | 曹妃甸区 | 唐山首钢京唐西山焦化有限责任公司 | 2521|炼焦 | 9113023069755634XF | 大气环境,土壤环境 |
| 496 | 曹妃甸区 | 首钢京唐钢铁联合有限责任公司 | 3130|钢压延加工 | 911302307808371268 | 大气环境,土壤环境 |
| 537 | 滦州市 | 河北东海特钢集团有限公司 | 3130|钢压延加工 | 91130223694697876R | 大气环境、土壤环境 |
| 538 | 滦州市 | 河北钢铁集团滦县司家营铁矿有限公司 | 0810|铁矿采选 | 911302237575404392 | 大气环境,土壤环境 |
| 539 | 滦州市 | 河北钢铁集团司家营研山铁矿有限公司 | 0810|铁矿采选 | 91130223699219996N | 大气环境,土壤环境 |
| 542 | 滦州市 | 河北唐机重工有限公司 | 3391|黑色金属铸造 | 911302237502816657 | 大气环境 |
| 567 | 滦州市 | 唐钢美锦(唐山)煤化工有限公司 | 2521|炼焦 | 9113022305267770XU | 水环境,大气环境,土壤环境 |
| 570 | 滦州市 | 唐山东海钢铁集团有限公司 | 3130|钢压延加工 | 91130223750292882A | 大气环境,土壤环境 |
| 571 | 滦州市 | 唐山冀杨金属制品有限公司 | 3130|钢压延加工 | 91130223089409936P | 土壤环境 |
| 573 | 滦州市 | 唐山金马钢铁集团有限公司 | 3130|钢压延加工 | 911302236882091275 | 大气环境、土壤环境 |
| 574 | 滦州市 | 唐山连创制钢科技有限公司 | 3130|钢压延加工 | 91130223674650798N | 土壤环境 |
| 586 | 滦州市 | 唐山东钢金属板材制造有限公司 | 3130|钢压延加工 | 91130223MA09TM7D48 | 大气环境 |
| 589 | 滦州市 | 唐山钢铁集团有限责任公司滦县煤化工分公司 | 2521|炼焦 | 91130223MA08EA5Y8U | 水环境,大气环境,土壤环境 |
| 643 | 玉田县 | 唐山市玉田金州实业有限公司 | 3120|炼钢 | 91130229677394785R | 大气环境,土壤环境 |
| 666 | 玉田县 | 河北天柱钢铁集团古玉煤焦化工有限公司 | 2521|炼焦 | 91130229677379112U | 水环境,大气环境,土壤环境 |
| 673 | 玉田县 | 玉田县鼎泰金属制品有限公司 | 3130|钢压延加工 | 91130229075997335J | 土壤环境 |
| 675 | 玉田县 | 玉田县祥泰金属制品有限公司 | 3130|钢压延加工 | 911302295982662082 | 土壤环境 |
| 681 | 迁西县 | 迁西中旺铁选有限公司 | 0810|铁矿采选 | 91130227661070903E | 大气环境 |
| 682 | 迁西县 | 迁西保明铁选有限公司 | 0810|铁矿采选 | 91130227661079748P | 大气环境 |
| 683 | 迁西县 | 迁西县万佳铁选有限公司 | 0810|铁矿采选 | 911302277302619159 | 大气环境 |
| 685 | 迁西县 | 迁西县三屯营镇合盛铁选厂(普通合伙) | 0810|铁矿采选 | 911302275661520976 | 大气环境 |
| 686 | 迁西县 | 迁西县中兴矿业有限公司 | 0810|铁矿采选 | 911302277387265459 | 大气环境 |
| 689 | 迁西县 | 迁西县德泰矿业有限公司 | 0810|铁矿采选 | 91130227MAOCURJKXG | 大气环境 |
| 690 | 迁西县 | 迁西县文政精选有限公司 | 0810|铁矿采选 | 91130227MA0DBDB12J | 大气环境 |
| 691 | 迁西县 | 迁西县栗树湾子铁选厂 | 0810|铁矿采选 | 91130227715881577Q | 大气环境 |
| 692 | 迁西县 | 迁西县汉儿庄乡岔沟铁选厂 | 0810|铁矿采选 | 91130227743443603R | 大气环境 |
| 696 | 迁西县 | 迁西县鑫顺铁选有限公司 | 0810|铁矿采选 | 911302276785008268 | 大气环境 |
| 697 | 迁西县 | 迁西县鼎泰铁选有限公司 | 0810|铁矿采选 | 911302277995769669 | 大气环境 |
| 698 | 迁西县 | 迁西福珍全矿业有限公司 | 0810|铁矿采选 | 91130227765193668Y | 大气环境 |
| 699 | 迁西县 | 唐山友利焦化有限公司 | 2521|炼焦 | 9113022777774894XA | 水环境,大气环境,土壤环境 |
| 701 | 迁西县 | 河北津西钢铁集团股份有限公司(东厂区) | 3130|钢压延加工 | 91130000721610976L | 大气环境,土壤环境 |
| 702 | 迁西县 | 河北津西钢铁集团股份有限公司(西厂区) | 3130|钢压延加工 | 91130000721610976L | 大气环境,土壤环境 |
| 703 | 迁西县 | 迁西县名诚合金材料厂 | 3141|铁合金 | 911302270581856422 | 大气环境 |





















内容来源:唐山市生态环境局

中国铁合金网版权所有,未经许可,任何单位及个人均不得擅自拷贝或转载,否则视为侵权,本网站将依法追究其法律责任,特此郑重声明!
- [责任编辑:kangmingfei]



收藏
打印
信息快递
行业报告
期刊杂志
企业名录
短信彩信
数据定制
会议服务
广告服务
贸易撮合
企业网站建设















评论内容